"Singuläre Matrix", was ist die Ursache?

Erfolg oder Misserfolg von Berechnungen in der Technischen Mechanik entscheiden sich bei vielen Problemen mit der Lösung eines linearen Gleichungssystems. Die Meldung für den Misserfolg lautet i. a. "Koeffizientenmatrix ist singulär" (bei der Finite-Elemente-Methode mit den in der Regel symmetrischen Koeffizientenmatrizen lautet die Misserfolgs-Meldung häufig "Matrix ist nicht positiv definit" siehe Seite "Positiv definit, was ist das?", aus der Sicht der Mathematik eine ganz andere Aussage, aus der Sicht der Mechanik aber meist durch vergleichbare Fehler verursacht).

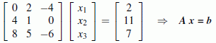
System mit singulärer Koeffizientenmatrix

Mit "Koeffizientenmatrix" ist die quadratische Matrix A des linearen Gleichungssystem A x = b gemeint, und "singulär" bedeutet, dass ihre Determinante det(A) den Wert 0 hat. In diesem Fall ist das Gleichungssystems nicht nach x auflösbar. Nebenstehend sieht man dafür ein kleines Beispiel (dieses System wird in verschiedenen Modifikationen als Einführungsbeispiel zur Lösung linearer Gleichungssysteme behandelt).

Eine Determinante hat immer dann den Wert 0, wenn eine lineare Abhängigkeit zwischen den Zeilen oder Spalten besteht, was in der Regel nicht leicht zu erkennen ist (um dies zu überprüfen, ist im Regelfall exakt der Aufwand zu betreiben, der bei dem Versuch der Lösung des Gleichungssystems zu der Aussage "Matrix ist singulär" führt). Im angegebenen Beispiel ist das Dreifache der ersten Zeile, addiert zum Vierfachen der zweiten Zeile gleich dem Doppelten der dritten Zeile (sieht man doch sofort, oder?).

Die Frage, wie der Algorithmus zur Lösung des Gleichungssystems die Singularität der Matrix (und damit die Unlösbarkeit des Gleichungssystems) erkennt, ist für die Lösung des Mechanik-Problems unerheblich. Es gilt, die möglichen Ursachen zu beseitigen, die sich in zwei große Kategorien einteilen lassen:
  1. Das zu berechnende System ist nicht korrekt (ein statisches System ist zum Beispiel nicht ausreichend gelagert).
  2. Für ein korrektes System wurde ein inkorrektes Gleichungssystem formuliert (man kann zum Beispiel nach der Formulierung von korrekten Gleichgewichtsbedingungen eine falsche Auswahl treffen).

Beispiele zur Ursache "System ist nicht korrekt": Es wird versucht, ein nicht ausreichend gelagertes oder innerlich nicht als tragfähig konstruiertes System zu berechnen:

Gemeinsames Merkmal nicht tragfähiger Strukturen ist in der Regel die Möglichkeit der "Starrköperbewegung": Das System oder ein Teil des Systems können sich bewegen, ohne dass sich die Teile verformen müssen.

Die mögliche Starrkörperbewegung zu erkennen, ist nicht immer einfach: Beim Beispiel oben links ist nur eine "unendliche kleine Starrkörperbewegung" möglich. Bei Fachwerken (Beispiel rechts) sollte unbedingt die "Notwendige Bedingung für die statische Bestimmtheit" überprüft werden (siehe zum Beispiel: Kapitel "Ebene Systeme starrer Körper" in "Dankert/Dankert: Technische Mechanik").



Beispiel 1 zur Ursache "Inkorrektes Gleichungssystem": Es werden korrekte Gleichungen formuliert (der durchaus häufige Fall, dass die Gleichungen falsch sind, soll hier gar nicht betrachtet werden), es wird aber ein falscher Satz von Gleichungen für das Gleichungssystem verwendet:

Für das nebenstehend skizzierte System können am Gesamtsystem (nur die drei Lager A, B und C werden weggeschnitten und durch 4 Lagerkraftkomponenten ersetzt) und an an den Teilsystemen I und II beliebig viele Gleichgewichtsbedingungen formuliert werden, von denen 6 für die Berechnung der 6 Unbekannten benötigt werden.

Von den verschiedenen Möglichkeiten, einen untauglichen Satz von Gleichgewichtsbedingungen auszuwählen, soll hier nur eine genannt werden:

Wenn die Horizontalkraft-Gleichgewichtsbedingungen nicht genau an zwei Systemen fomuliert werden (Gesamtsystem und System I oder Gesamtsystem und System II oder System I und System II), wird die Koeffizientenmatrix des Gleichungssystems singulär. Dies wird an diesem Beispiel auf der Seite "Singularität bei falscher Auswahl der Gleichgewichtsbedingungen, Beispiel 1" mit Vergleich von korrekter und inkorrekter Auswahl der Gleichgewichtsbedingungen demonstriert.

Beispiel 2 zur Ursache "Inkorrektes Gleichungssystem": Für die nebenstehend zu sehende Zange ist das äußere Gleichgewicht schon per Aufgabenstellung erfüllt.

Die darunter dargestellten Schnittskizzen als Vorbereitung für die Computerrechnung (siehe Beispiel im Kapitel "Ebene Systeme starrer Körper" in "Dankert/Dankert: Technische Mechanik") legen das Aufschreiben von 12 Gleichgewichtsbedingungen nahe (3 je Teilsystem), denen aber nur 9 Unbekannte gegenüberstehen. Welche Gleichgewichtsbedingungen nicht verwendet werden sollen, ist nicht ganz einfach zu entscheiden. Auf der Seite "Gripzange, Lösung mit 9 Gleichgewichtsbedingungen" wird das Problem behandelt und jeweils eine inkorrekte Auswahl (führt zu Singularität) und eine korrekte Auswahl verwendet.

In diesem Fall ist man sehr gut beraten, den Hinweisen auf der Seite "Gripzange" zu folgen und eine von den dort angebotenen Varianten zu wählen, mit denen man vom Zwang der Auswahl aus einer größeren Anzahl von Gleichgewichtsbedingungen befreit wird.