Singularität bei falscher Auswahl der Gleichgewichtsbedingungen, Beispiel 1


Aufgabe

Für den skizzierten einfachen Gerber-Träger sind die Lager- und Gelenkkräfte zu bestimmen.

Gegeben:  F .

Die Aufgabe ist dem Kapitel "Ebene Systeme starrer Körper" des Lehrbuchs "Dankert/Dankert: Technische Mechanik" entnommen. Sie wird dort mit Hilfe der nebenstehend zu sehenden Schnittskizze gelöst, wobei an jedem Teilsystem 3 Gleichgewichtsbedingungen formuliert werden.

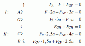
Hier soll gezeigt werden, was passiert, wenn die falschen Gleichgewichtsbedingungen für die Berechnung ausgewählt werden. Nachfolgend sieht man links 6 korrekt formulierte Gleichgewichtsbedingungen. Es sind je 2 Momenten-Gleichgewichte an jedem Teilsystem und am linken Teilsystem das Kraft-Gleichgewicht in vertikaler, am rechten Teilsystem in horizontaler Richtung.

Die Länge a kürzt sich aus den Gleichungen heraus. Die Gleichgewichtsbedingungen lassen sich zu dem rechts zu sehenden linearen Gleichungssystem zusammenfassen, wobei auf der rechten Seite die Kraft F ausgeklammert werden kann:

              

Es wird versucht, das Gleichungssystem mit dem Programm "Lineares Gleichungssystem, Matrixinversion" (zu finden unter "Ingenieurmathematik und TM interaktiv") zu lösen, und dies ist das Ergebnis:

Mathematische Sicht: Eine Matrix ist singulär, wenn zwischen Zeilen bzw. Spalten eine lineare Abhängigkeit besteht. Bei dieser Koeffizientenmatrix ist die Summe aus der 3. Zeile und dem (-1)-fachen der 2. Zeile gleich dem 3-fachen der 1. Zeile.

Sicht der Technischen Mechanik: Die beiden Momenten-Gleichgewichtsbedingungen garantieren auch das Kraft-Gleichgewicht in vertikaler Richtung. Wenn man von der dritten Gleichgewichtsbedingung die zweite subtrahiert, ergibt sich exakt die erste Gleichgewichtsbedingung. Die drei Gleichgewichtsbedingungen am linken Teilsystem entsprechen also nur der Informationsmenge von zwei Gleichungen.

Dagegen ist am linken Teilsystem keine Gleichung formuliert worden, die das Kraftgleichgewicht in horizontaler Richtung erzwingt. Wenn man zum Beispiel die erste Gleichgewichtsbedingung (Vertikalkräfte) durch das Kraftgleichgewicht in horizontaler Richtung

ersetzt, wird ein korrekter Satz von Gleichgewichtsbedingungen formuliert. Im Eingabeschema des Programms ändern sich nur die Werte der ersten Zeile, und es wird eine Lösung abgeliefert: