Stabilität von Gleichgewichtslagen

Aufgabe

Eine Stange der Länge l mit der Masse m wird wie skizziert in eine Feder eingehängt, die im entspannten Zustand die Länge l0 hat. Es sind alle möglichen Gleichgewichtslagen zu bestimmen, wobei zwischen stabilen und instabilen Lagen zu unterscheiden ist.

Gegeben:

Ihr Browser kann diese Animation leider nicht darstellen. Die dafür erforderliche Unterstützung der Canvas-Grafik wird außer vom Internet Explorer von allen modernen Browsern (Mozilla, Chrome, Safari, Opera, Android, ...) seit vielen Generationen unterstützt. Der Internet Explorer unterstützt diese Grafik erst ab Version 9. Falls Sie (wie zu vermuten ist) eine ältere Internet-Explorer-Version benutzen, sollte dies der Anlass sein, ein Update auf die aktuelle Version zu starten.


Hier kommt man zu einer interaktiven Animation mit einstellbaren Parametern

Lösung

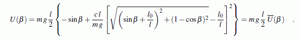
Im Kapitel "Prinzipien der Mechanik" des Lehrbuchs "Dankert/Dankert: Technische Mechanik" wird gezeigt, dass die potenzielle Energie des Systems durch die Funktion

beschrieben wird. Die Extremwerte dieser Funktion kennzeichnen die Gleichgewichtslagen des Systems, wobei Minima stabile Gleichgewichtslagen und Maxima instabile Gleichgewichtslagen anzeigen (ausgewertet werden muss nur die geschweifte Klammer). Benötigt wird also ein Programm, das die Minima und Maxima einer solchen Funktion in einem vozugebenden Intervall (hier: 0° ≤ β ≤ 360°) ermitteln kann.

Berechnung und Bewertung der Gleichgewichtslagen