Laufkatze mit pendelnder Last - Berechnung mit Simulink
Matlab (einfach)  |   Matlab-Event-Strategie  |   Simulink  |   Runge-Kutta  |   Animation

Aufgabe


Laufkatze mit pendelnder Last

Eine Laufkatze (Masse mK) trägt eine Last (Masse einschließlich Anhängevorrichtung: mL, Massenträgheitsmoment bezüglich des Schwerpunktes S: JL). In der skizzierten Ruhelage beginnt für eine kurze Zeit Δt die konstante Antriebskraft F0 zu wirken, die danach wieder abgeschaltet wird. Nach dem Zurücklegen der Strecke a stößt die Laufkatze auf einen elastischen Puffer (Federzahl c).

Die Bewegung von Laufkatze und Last soll, beginnend aus der Ruhelage, für die ersten 10 Sekunden analysiert werden.

Gegeben:

mK = 100 kg ;  JL = 400 kgm2 ;  lS = 4 m ;  F0 = 2000 N ;
mL = 500 kg ;  c = 200000 N/m ;  Δt = 1 s ;  a = 5 m .

Die Aufgabe wird in den Kapiteln "Prinzipien der Mechanik" und "Verifizieren von Computerrechnungen" behandelt.

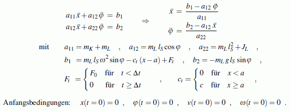
Bewegungs-Differenzialgleichungen, Vorbereitung der Simulink-Rechnung

Generalisierte Koordinaten

Die Besonderheit dieser Aufgabe besteht in dem Eintreten von "Ereignissen" (Abschalten der Antriebskraft, Zu- und Abschalten einer Feder). Man erfasst sie, indem an die Stelle der Kraft F0 die zeitabhängige Kraft Ft tritt und die Federkonstante c durch ct ersetzt wird:

Zeitabhängige Antriebskraft, zeitabhängige Federzahl

Unter Verwendung der nebenstehend skizzierten Koordinaten gelten folgende Bewegungs-Differenzialgleichungen (die ausführlich kommentierte Herleitung findet man im Kapitel "Prinzipien der Mechanik"):

Bewegungs-Differenzialgleichungen

Damit kann das Anfangswertproblem so formuliert werden, wie man es in Simulink modellieren kann:

Komplettes Anfangswertproblem

Die sprunghaften Änderungen der Parameter Ft und ct werden folgendermaßen realisiert:

Null-Potenzial

Es bietet sich an, die Energiekurve als Kontrollfunktion parallel zur Integration der Bewegungs-Differenzialgleichungen zu ermitteln. Die potenzielle Energie soll nur für das bewegte System berücksichtigt werden (während des Kontakts mit der Feder ist auch in dieser potenzielle Energie gespeichert). Im Kapitel "Verifizieren von Computerrechnungen" wird gezeigt, dass mit dem Null-Potenzial entsprechend nebenstehender Skizze und den Anteilen der kinetischen Energie aus der Bewegung von Laufkatze und pendelnder Last folgende Beziehung für die Gesamtenergie des bewegten Systems gilt:

Gesamtenergie des bewegten Systems
Diese Funktion wird mit den ermittelten Werten für x(t), φ(t) und deren Ableitungen berechnet und graphisch dargestellt.

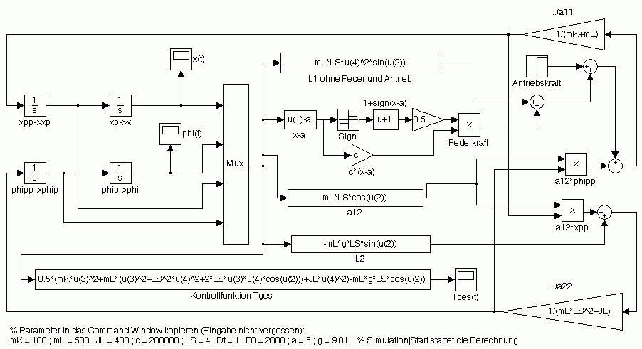
Simulink-Blockschaltbild

Das nachfolgend zu sehende Simulink-Blockschaltbild bildet das oben angegebene Anfangswertproblem ab:

Simulink-Blockschaltbild

Ergebnisse der Berechnung

Nachdem (z. B. wie oben beschrieben) die Problemparameter als Zahlenwerte eingegeben wurden, kann die Rechnung aus dem Fenster mit der Darstellung des Blockschaltbilds über das Menüangebot Simulation|Start gestartet werden. Man sieht zunächst nichts, die Ergebnisse landen in den "Scopes". Durch Doppelklick auf Scope "x(t)" wird die graphische Darstellung des Bewegungsgesetzes der Laufkatze, durch Doppelklick auf Scope "phi(t)" wird die graphische Darstellung des Bewegungsgesetzes der pendelnden Last sichtbar (es ist empfehlenswert, jeweils nach dem Öffnen des Graphik-Fensters auf das "Fernglas"-Symbol zu klicken, wodurch automatisch ein geeigneter Maßstab für die Darstellung gewählt wird):

 
Bewegungsgesetz der Laufkatze Bewegungsgesetz der pendelnden Last

In der vorstehenden Graphik links (Bewegungsgesetz x(t)) sieht man, dass die Laufkatze offensichtlich zweimal an die Feder stößt, bevor sie ihren Rückweg antritt und mehrmals (auch ohne äußere Krafteinwirkung) ihre Bewegungsrichtung ändert. Dieses etwas überraschende Verhalten wird hier ausführlich diskutiert.

Kontrollfunktion Gesamtenergie

Die Kurve der Kontrollfunktion Tges(t) (nebenstehendes Bild, erscheint nach Doppelklick auf Scope "Tges(t)") liefert ein wichtiges Indiz für die Richtigkeit der Rechnung: Startend mit der (negativen) potenziellen Energie, wächst sie infolge der Antriebskraft auf ihren Maximalwert, den sie zum Zeitpunkt t = Δt erreicht. Die beiden "Zacken" in der Kurve kennzeichnen die Energieabgabe an die Feder nach dem Anschlag. Die Energie wird komplett an das bewegte System zurückgegeben, so dass der Rest des Kurvenverlaufs wieder eine horizontale Gerade ist.

Die drei Graphiken sind die einzigen Ausgaben, die in dieser Berechnung vorgesehen sind. Man kann natürlich auch bei Rechnungen mit Simulink numerische Daten ausgeben lassen, z. B. die Wertetabellen für die berechneten Funktionswerte. Darauf wurde hier verzichtet, weil die Aufgabe auch mit verschiedenen anderen Verfahren berechnet wurde (eine Zusammenstellung findet man hier).

Weil aber einerseits das Blockschaltbild möglicherweise recht kompliziert erscheint, andererseits der Verlauf der Kurve x(t) etwas merkwürdig ist, wird nachfolgend gezeigt, dass es ja auch kein so einfaches Problem ist. Links ist ein Zoom in das Bewegungsgesetz der Laufkatze dargestellt, der den besonders interessanten Teil der Bewegung verdeutlicht. Was im Diagramm noch etwas überraschend erscheint, wird mit der unten rechts zu sehenden Animation der Bewegung verständlich. Man sieht, wie die schwingende Last auf die Laufkatze einwirkt und Änderungen der Bewegungsrichtung auch ohne äußere Krafteinwirkung erzwingt:

 
Bewegungsgesetz der Laufkatze Animation der Bewegung

Die Animation zeigt die Bewegung von Laufkatze und Last etwa für den Zeitbereich, der im links zu sehenden Diagramm als Bewegungsgesetz der Laufkatze dargestellt ist.

Bemerkung zur Simulink-Berechnung


Die Benutzeroberfläche von Simulink, die im Vergleich zu vielen anderen so ganz anders aussieht, suggeriert, dass hier mit einem Blockschaltbild eine Art Regelkreis definiert wird. Tatsächlich ist das wirklich nur die Oberfläche, intern wird (natürlich!) numerisch gerechnet, und eigentlich passiert nichts anderes als nach dem Schreiben eines Matlab-Scripts, wie es zum Beispiel auf den Seiten "Laufkatze - einfache Berechnung mit Matlab" oder "Laufkatze - Berechnung mit der Matlab-Event-Strategie" demonstriert wird.

Man kann sich das anzeigen lassen (und gegebenenfalls beeinflussen), was intern geschieht. Das nachfolgend zu sehende Fenster (Ausschnitt) sollte ohnehin mindestens einmal vor der Rechnung aufgerufen werden, um den Integrationsbereich (Anfangs- und Endzeit) festzulegen. Es erscheint über das Menüangebot Simulation|Configuration Parameters ...:

Configuration Parameters

Man sieht, dass die Voreinstellung für den Solver genau der ode45-Algorithmus ist, der auch als Standard-Solver für Matlab-Scripts (und damit für die Berechnungen, auf die oben verwiesen wird) verwendet wird. Man kann sowohl diese Einstellung als auch die "MaxStep"-Einstellungen, auf die bei den Matlab-Berechnungen ausführlich eingegangen wird, verändern.

Fazit: Simulink ist nur eine andere Oberfläche für die Matlab-Funktionen.

Download


Das oben zu sehende Simulink-Blockschaltbild steht als laufkatzekontr.mdl zum Download zur Verfügung.