Berechnung von Flächenträgheitsmomenten, Beispiel
Fläche, für die die Flächenträgheitsmomente zu berechnen sind

Aufgabe

Für die skizzierte Fläche sind die Koordinaten des Schwerpunkts, die Hauptträgheitsmomente und die Lage der Hauptzentralachsen zu berechnen.

Einteilung in vier Teilflächen

Zerlegung in Teilflächen

Bei der Einteilung der Fläche entsprechend nebenstehender Abbildung in zwei Rechteckflächen, eine Dreiecksfläche und eine Halbkreisfläche (als Fehlfläche) sind für die ersten drei Teilflächen die Koordinaten der Schwerpunkte und die auf die Schwerpunktkoordinaten bezogenen Flächenträgheitsmomente sofort anzugeben.

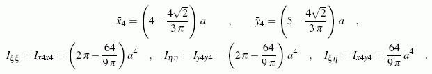
Für die Halbkreisfläche ist dies etwas schwieriger, weil die für den Halbkreis zu findenden Formeln sich auf ein anderes Koordinatensystem beziehen. Die Umrechnung auf die in der Skizze angegebenen Koordinaten wird bei der Behandlung dieser Aufgabe im Kapitel "Biegung" ausführlich beschrieben. Die dort gewonnenen Ergebnisse sind:

Parameter der Teilfläche 4

Damit kann die Tabellenrechnung mit der Excel-Tabelle gestartet werden. Nachstehend sieht man das Ergebnis (Download der Excel-Datei durch Klicken auf das Bild):

Excel-Rechnung für ein spezielles Beispiel

Kontrollrechnungen