Koppelgetriebe, Beispiel: Zentrische Schubkurbel
Zentrische Schubkurbel

Bei der zentrischen Schubkurbel liegt der feste Drehpunkt der Kurbel auf der Geraden, auf der sich der Gelenkpunkt des Gleitsteins bewegt. Die nebenstehend zu sehende Animation zeigt ein solches Getriebe (hier findet man die Animation einer exzentrischen Schubkurbel).

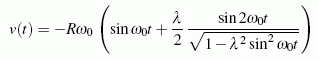
In der hier dargestellten Schubkurbel treibt die (graue) Kurbel mit der konstanten Winkelgeschwindigkeit ω0 über das (blaue) Pleuel den (roten) Gleitstein an. Im Kapitel "Kinematik des Punktes" wird gezeigt, dass sich der Gleitstein dann mit der Geschwindigkeit

Geschwindigkeit des Gleitsteins der Schubkurbel
Hier kommt man zu einer Animation der Bewegung, bei der die Bahn sichtbar wird, die der Momentanpol der Pleuelstange beschreibt (Rastpolbahn).

bewegt. Darin ist λ das Verhältnis "Radius der Kurbel R"/"Pleuellänge l". Für die Animation wurde

gewählt. Die Länge des gelben Pfeils ist proportional zur Geschwindigkeit des Gleitsteins in der jeweiligen Lage.