Aufschrumpfen einer Scheibe

Aufgabe

Eine Kreisscheibe konstanter Dicke wird an ihrem Innenrand um den Betrag Δr aufgeweitet. Der Verformungs- und Spannungszustand u(r), σr(r) und σt(r) und die Vergleichsspannung nach der Gestaltänderungshypothese sollen berechnet werden.

Lösung

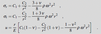
Spannungs-und Verschiebungszustand einer mit ω rotierenden rotationssymmetrischen Scheibe

Im Kapitel "Rotationssymmetrische Modelle" des Lehrbuchs "Dankert/Dankert: Technische Mechanik" werden die nebenstehend zu sehenden allgemeinen Formeln für den Spannungs- und Verschiebungszustand einer mit der Winkelgeschwindigkeit ω rotierenden rotationssymmetrischen Scheibe hergeleitet.

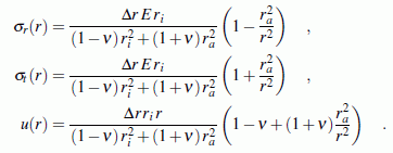
Diese Fomeln können für das aktuelle Problem mit ω = 0 übernommen werden. Diese Gleichungen müssen noch den Randbedingungen

angepasst werden, aus denen sich die Integrationskonstanten berechnen:

Damit ergibt sich der folgende Spannungs- und Verformungszustand:

Die Vergleichsspannung nach der Gestaltänderungshypothese ergibt sich für den ebenen Spannungszustand (ohne Schubspannung, σr und σt sind Hauptspannungen) nach

Die Auswertung dieser Formeln (grafische Darstellung der Funktionen) wird nachfolgend mit verschiedenen Softwareprodukten erledigt.

Grafische Darstellung der Funktionen


Grafische Darstellung der Funktionen mit dem Programm "Funktionen analysieren" (zu finden unter "Ingenieurmathematik und Technische Mechanik interaktiv")


Prof. Dr. Thomas Frischgesell (HAW Hamburg) hat die Funktionen mit Maple ausgewertet, hier das "Maple Worksheet" zur Ansicht (HTML) und zum Download (MWS).