Zur
Startseite
Verifizieren der Lösung eines Anfangswertproblems
Aufgabe
Zwei Massen m1 und
m2 können auf einer vertikalen bzw. einer
horizontalen Führung reibungsfrei gleiten. Sie sind durch eine starre
Stange (Masse mS und
Massenträgheitsmoment JS bezüglich des
Schwerpunktes S) gekoppelt.
Das gesamte System wird aus der skizzierten
Lage ohne Anfangsgeschwindigkeit freigelassen.
Gegeben:
Das nur auf numerischem Wege zu gewinnende Bewegungsgesetz
soll punktuell mit dem Energiesatz kontrolliert werden.
Bewegungs-Differenzialgleichung, Energiesatz
Die Aufgabe wird hier
für verschiedene Fragestellungen mit Matlab
gelöst. Zur Analyse des Bewegungsvorgangs muss zunächst das
Anfangswertproblem gelöst werden (die Koordinate φ
verfolgt die Bewegung der Verbindungsstange, siehe nebenstehende Skizze, die
Herleitung der Differenzialgleichung wird im Kapitel "Kinetik starrer Körper"
ausführlich behandelt):
Wegen der vielfältigen Fehlerquellen wird im Kapitel "Kinetik starrer Körper"
empfohlen, die Ergebnisse punktuell mit dem Energiesatz zu überprüfen.
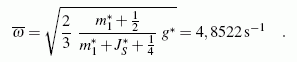
Die nebenstehende Skizze zeigt zwei Lagen des Systems, für
die die Energiebilanz besonders einfach zu formulieren ist.
Als Zustand 1 wird der Start der Bewegung und als Zustand 2
die horizontale Lage der
Stange betrachtet. Mit dem Null-Potenzial in Höhe der horizontalen
Führung hat das System nur im Zustand 1 potenzielle
Energie. Im Zustand 2 befindet sich Masse 2
im Umkehrpunkt ihrer Bewegung, hat also keine kinetische
Energie. Da sich damit auch der Bolzen 2
der Stange in Ruhe befindet, ist er der Momentanpol
für die Stange, deren kinetische Energie damit besonders
einfach formuliert werden kann. Dies wird im Kapitel "Kinetik starrer Körper"
ausführlich beschrieben und führt über die Energiebilanz zu einer
sehr einfachen Formel für die Winkelgeschwindigkeit der Verbindungsstange
beim Passieren der Lage
φ = 0:
Die numerische Integration des Anfangswertproblems
(hier
mit erweiterter Aufgabenstellung ausführlich demonstriert) liefert das
Bewegungsgesetz in Abhängigkeit von der Zeit als Wertetabelle.
Die benötigte Nullstelle
von φ(t)
könnte man daraus durch Interpolation annähern, um danach aus
der ebenfalls als Wertetabelle vorliegenden Funktion
ω(t) auch durch
Interpolation den speziellen
ω-Wert (auch näherungsweise) zu gewinnen.
Für diese Aufgabe bietet Matlab allerdings mit der Event-Strategie
eine effektive und natürlich viel bessere Lösungsmöglichkeit. Man
kann den Algorithmen der numerischen Integration "Events" vorgeben,
deren Eintreten bei der Integration überprüft wird, hier also zum Beispiel:
Nulldurchgang der Funktion φ(t),
und es werden der genaue Zeitpunkt des "Events" und die zugehörigen
Funktionswerte φ und
ω berechnet und zusätzlich abgeliefert.
Dies wird nachfolgend gezeigt.
Lösung mit Matlab, Kontrolle mit dem Energiesatz
Das Anfangswertproblem 2. Ordnung muss
für die Lösung mit Matlab in ein System 1. Ordnung umgeschrieben werden. Dafür
wird eine neue Variable ω als
Ableitung der Winkelkoordinate φ
nach der Zeit eingeführt:
In dem
folgenden Matlab-Script ist das Differenzialgleichungsssystem
in der Function Dgl realisiert, die dem Verfahren zur numerischen
Integration (ode45) beim Funktionsaufruf angezeigt wird. Bemerkungen
zur Event-Strategie findet man nach dem Listing des Scripts.
function BolzenkraefteEv
global JSS m1S m2S gS
JSS = 1/12 ; m1S = 0.5 ; m2S = 2 ; gS = 29.43 ;
maxstep = 0.01 ; % ... fuer MaxStep-Option
phi0 = [asin(1/3) ; 0] ; tspan = [0 2] ; % Anfangswerte, Zeitintervall
options = odeset ('MaxStep' , maxstep , 'Events' , @Ereignis) ; % Event-Behandlung wird angekuendigt
[t phiphip te phiphipe ereig] = ode45 (@Dgl , tspan , phi0 , options) ;
phi = phiphip(:,1) ; phip = phiphip(:,2) ; % Sortieren der Ergebnisse
subplot(1,2,1) ; plot (t , phi) , grid on , title ('\phi(t)')
subplot(1,2,2) ; plot (t , phip) , grid on , title ('\omega(t)')
disp([' ']) ;
disp(['Rechnung mit MaxStep = ' , num2str(maxstep) , ':']) ;
for i=1:length(te) % Auswertung der "Events"
disp(['omega(t = ' , num2str(te(i)) , ') = ' , num2str(phiphipe(i,2))]) ;
end
disp(['phi (t_end = ' , num2str(t(end)) , ') = ' , num2str(phi(end))]) ; % Zusaetzliche Kontrolle:
disp(['omega(t_end = ' , num2str(t(end)) , ') = ' , num2str(phip(end))]) ; % Werte am Ende des Intervalls
% ===================================================================
function [value,isterminal,direction] = Ereignis (t,phiphip)
phi = phiphip(1) ;
value(1) = phi ; % Ereignis 1: "Nulldurchgang"
isterminal(1) = 0 ; % Kein Abbruch, aber registrieren ...
direction(1) = 0 ; % ... in jedem Fall (Hin- und Rueckweg)
% ============================================================
% Function, die die "rechte Seite" des Dgl.-Systems definiert:
function f = Dgl (t , phiphip)
global JSS m1S m2S gS
phi = phiphip(1) ;
omega = phiphip(2) ;
phiP = omega ;
zaehl = -((m2S-m1S)*omega^2*sin(2*phi)+(2*m1S+1)*gS*cos(phi)) ;
nenn = (0.5+2*m2S*(sin(phi))^2+2*m1S*(cos(phi))^2+2*JSS) ;
f = [phiP ; zaehl/nenn] ;
Die Passagen im vorstehenden Script, die sich auf die Matlab-Event-Strategie
beziehen, sind farblich gekennzeichnet (hellblau die Ankündigung und Definition
der Events, weiß die Auswertung der abgelieferten Informationen):
- Neben der obligatorischen "MaxStep-Option" (weil die Standardeinstellungen
keine ausreichende Genauigkeit garantieren) kündigt die (hellblaue)
"Events-Option" an, dass auf spezielle Ereignisse geachtet werden
soll, und verweist auf ein Handle einer Function Ereignis
(Name kann beliebig gewählt werden), die die "Events" definiert.
- Die Function Ereignis bekommt als Input die gleichen
Werte (Zeit und Vektor der Bewegungsgrößen) wie die Funktion für
die Definition der Differenzialgleichungen (hier: Dgl).
Die Function Ereignis muss für jedes Ereignis
drei Informationen abliefern (hier ist es nur ein Ereignis, eine Aufgabe
mit mehreren Ereignissen wird
hier
beschrieben):
- Eine "Nullfunktion" (hier auf Vektor value) definiert
durch ihre Nullstelle das Ereignis (dies kann ein beliebiger
Ausdruck sein, hier ist es nur die Variable phi, auf deren
Nullstelle geachtet werden soll).
- Was soll beim Eintreten dieses Ereignisses geschehen? Die hier
auf isterminal abgelieferte 0 bedeutet: Ereignis nur
registrieren, Rechnung nicht abbrechen. Eine 1 würde Abbruch
bedeuten, ein Beispiel, für das dies sinnvoll ist, findet man
hier.
- Der dritte Parameter spezifiziert das Ereignis genauer:
Die hier auf direction abgelieferte Null bedeutet,
dass jeder Nulldurchgang als Ereignis registriert wird
(eine 1 würde nur Nulldurchgänge von negativen in positive Werte
registrieren, eine −1 nur Nulldurchgänge von positiven
in negative Werte).
- Die ode45-Function liefert bei gesetzter Event-Option
neben den Wertetabellen für die Zeit und die Bewegungsgrößen
(hier: t und phiphip)
drei zusätzliche Ergebnisse (im Script weiß gekennzeichnet):
- Der Vektor te enthält alle Zeitpunkte, zu denen Ereignisse
registriert worden sind (die Länge des Vektors entspricht der
Anzahl der Ereignisse).
- Die Matrix phiphipe enthält alle Bewegungsgrößen
zu diesen Zeitpunkten.
- Der Vektor ereig enthält die Informationen, welche
Ereignisse eingetreten sind (hier gibt es nur ein Ereignis, deshalb
steht dort auf allen Positionen eine 1).
- In einer ebenfalls weiß gekennzeichneten Schleife gibt das Script
mit der disp-Function die Winkelgeschwindigkeiten zu den
speziellen Zeitpunkten aus, an denen
φ(t) einen
Nulldurchgang hat.
Die Rechnung wurde mehrmals mit unterschiedlichen MaxStep-Options
durchgeführt. Die nebenstehend zu sehende Ausgabe in das
Command Window zeigt, dass im Integrationsbereich drei
Ereignisse registriert werden. Neben den "Ereignis-Winkelgeschwindigkeiten" werden
auch die Endwerte für φ und
ω ausgegeben. Man erkennt, dass
die MaxStep-Option 0,01 offensichtlich für ausreichende Genauigkeit
sorgt. Sowohl die Winkelgeschwindigkeiten als auch die Endwerte
ändern sich bei feinerer MaxStep-Option nicht mehr.
Die theoretischen Vorgaben werden bestätigt: Die Winkelgeschwindigkeiten
beim Passieren der Lage φ = 0
entsprechen genau dem nach dem Energiesatz zu erwartenden Wert (die
Vorzeichen entsprechen der mit der Definition der Koordinate
φ festgelegten positiven Drehrichtung).
Die nachfolgend zu sehenden kinematischen
Diagramme zeigen, dass die Ereignisse tatsächlich den Nullstellen
der Funktion
φ(t) zuzuordnen
sind, und die ausgegebenen Winkelgeschwindigkeiten entsprechen ebenfalls den
Werten, die das Diagramm anzeigt:
Plausibilität der Kinematik, Animation
Die oben zu sehenden Diagramme
φ(t) und
ω(t)
sind schwierig zu interpretieren. Immerhin zeigt sich bereits der zu
erwartende periodische Verlauf, die Erfüllung der Anfangsbedingungen
und die erwartete Zuordnung spezieller
ω-Werte zu den Nulldurchgängen
der Funktion
φ(t).
Eine Vorstellung vom zu erwartenden Bewegungsverlauf hat man allerdings
eher für die beiden Gleitsteine, deren Bewegungsgesetze deshalb nachfolgend
noch berechnet werden.
Außerdem ist aus der Kinematik bekannt, dass sich der Mittelpunkt
der Verbindungsstange eines
Doppelschiebers
auf einer Kreisbahn bewegt. Auch dies wird mit der nachfolgenden
Testrechnung überprüft.
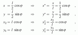
Die für die Darstellung benötigten Koordinaten sind über die
hier angegebenen
Zwangsbedingungen
aus der Funktion
φ(t)
leicht zu berechnen. Sie lauten in dimensionsloser Form (bezogen
auf die Länge l der Verbindungsstange):
Das Matlab-Script enthält nur noch die wesentlichen Passagen
des oben gezeigten Scripts, mit denen die graphische Darstellung
der gewünschten Funktionen gelingt:
function BolzenkraefteEv2
global JSS m1S m2S gS
JSS = 1/12 ; m1S = 0.5 ; m2S = 2 ; gS = 29.43 ;
phi0 = [asin(1/3) ; 0] ; tspan = [0 2] ; % Anfangswerte, Zeitintervall
options = odeset ('MaxStep' , 0.01) ;
[t phiphip] = ode45 (@Dgl , tspan , phi0 , options) ;
phi = phiphip(:,1) ; phip = phiphip(:,2) ; % Sortieren der Ergebnisse
xS = 0.5*cos(phi) ; yS = 0.5*sin(phi) ; % Mittelpunkt der Verbindungsstange
x2S = cos(phi) ; y1S = sin(phi) ; % Gleitsteine
subplot(1,3,1) ; plot (t , x2S) , grid on , title ('x_2^{\ast}(t)')
subplot(1,3,2) ; plot (t , y1S) , grid on , title ('y_1^{\ast}(t)')
subplot(1,3,3) ; plot (xS , yS ) , grid on , title ('y(x)') , axis equal
% ============================================================
% Function, die die "rechte Seite" des Dgl.-Systems definiert:
function f = Dgl (t , phiphip)
global JSS m1S m2S gS
phi = phiphip(1) ;
omega = phiphip(2) ;
phiP = omega ;
zaehl = -((m2S-m1S)*omega^2*sin(2*phi)+(2*m1S+1)*gS*cos(phi)) ;
nenn = (0.5+2*m2S*(sin(phi))^2+2*m1S*(cos(phi))^2+2*JSS) ;
f = [phiP ; zaehl/nenn] ;
Die Graphik-Ausgabe des Scripts zeigt die drei Diagramme:
Interpretation der Kontrollrechnung:
- Der Mittelpunkt der Verbindungsstange bewegt sich (wie erwartet)
auf einer Kreisbahn (rechtes Bild). Dass der Kreis nicht
geschlossen ist, liegt daran, dass der sich vertikal bewegende Gleitstein
nicht seine kinematisch mögliche Höchstlage erreicht,
sondern maximal bis zu seiner Startlage kommt.
- Der sich vertikal bewegende Gleitstein führt (wie erwartet)
eine regelmäßige (annähernd harmonische) Schwingung aus (mittleres Bild).
- Interpretationsbedürftig sind die "kleinen Dellen" in der Nähe
der Maximalausschläge des sich horizontal bewegenden Gleitsteins
(linkes Bild): Der Maximalausschlag wird jeweils erreicht, wenn der
andere Gleitstein die Nulllage passiert. Weil die Bewegung dieses
Gleitsteins nach oben nur eine vergleichsweise kurze Strecke ist
(im Vergleich zur Bewegung bis zum unteren Totpunkt), wird der
sich horizontal bewegende Gleitstein in relativ kurzem
zeitlichen Abstand zweimal zu seiner Extremlage geführt.
In der nebenstehend zu sehende Animation der Bewegung
äußert sich das in dem kurzen "Hin-und-Her" in der
Nähe seiner Extremlagen.