DDBanner02

Zur Startseite

TM-aktuell
Aufgaben zur Festigkeitslehre

Mit den in der Skizze zu sehenden Koordinaten z1 und z2 lauten die Differenzialgleichungen für den linken Bereich ohne elastische Bettung (Aufgabenstellung a)

und bei Berücksichtigung der elastischen Bettung (Aufgabenstellung b):

Für den rechten Abschnitt gilt die Differenzialgleichung:

Die allgemeine Lösung für den linken Bereich findet man für den Fall ohne elastische Bettung durch viermaliges Integrieren:

Die allgemeine Lösung für den linken Bereich für den Fall mit elastischer Bettung wird nach den Regeln der Lösung homogener linearer gewöhnlicher Differenzialgleichungen mit konstanten Koeffizienten ermittelt. Man findet sie in “Dankert/Dankert: Technische Mechanik” auf der Seite 295:

Man beachte, dass diese Lösung für den Sonderfall  k = 0 versagen würde. Deshalb wird die Aufgabenstellung ohne Bettung gesondert behandelt.

Die Lösung der Differenzialgleichung für den rechten Bereich findet man durch viermaliges Integrieren:

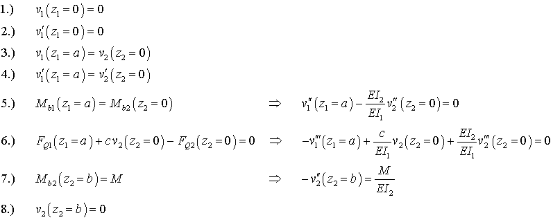
In beiden Fällen sind 8 Integrationskonstanten zu bestimmen. Die dafür erforderlichen Rand- und Übergangsbedingungen sind für beide Aufgabenstellungen gleich:

Für die Auswertung dieser Gleichungen benötigt man die ersten drei Ableitungen der allgemeinen Lösungen der Differenzialgleichungen. Für die beiden Fälle ohne elastische Bettung entstehen diese ohnehin bei der viermaligen Integration der Differenzialgleichungen, die Ableitungen der Lösung der homogenen Differenzialgleichung des elastisch gebetteten Trägers findet man z. B. hier.

Für die Aufgabenstellung a liefern die 8 Rand- und Übergangsbedingungen folgendes Gleichungssystem:

Die Lösung dieses Gleichungssystems ist (mit einiger Mühe) durchaus noch “von Hand” möglich. Weil danach die Auswertung der allgemeinen Lösung mit den dann bekannten Integrationskonstanten aber auch recht aufwändig (und alles natürlich sehr fehleranfällig) ist, kann dieser Weg kaum empfohlen werden. Deshalb: Lösung der Aufgabenstellung a mit MATLAB.

Für die Aufgabenstellung b liefern die 8 Rand- und Übergangsbedingungen folgendes Gleichungssystem:

Hier verbietet sich natürlich die Handrechnung von selbst, deshalb auch hier: Lösung mit MATLAB.

Zur Übersicht der Aufgaben zur Festigkeitslehre

www.DankertDankert.de

 

TM1-Aufgaben TM2-Aufgaben
TM3-Aufgaben TM3-Aufgaben