Kinematik des Punktes, Beispiel: Punkt auf Planetenrad
Hier kommt man zu einer Animation der Bewegung, bei der die Abmessungsverhältnisse interaktiv einstellbar sind.

Aufgabe

Der Steg eines Planetengetriebes dreht sich mit der konstanten Winkelgeschwindigkeit ωS und treibt ein Planetenrad, das auf dem feststehenden Sonnenrad abrollt.

Die Bewegung des Punktes A im Abstand a vom Mittelpunkt des Planetenrades soll analysiert werden.

Gegeben: R, r, a, ωS.

Planetenrad rollt auf festem Sonnenrad ab
  1. Zum Zeitpunkt t=0 befindet sich das Planetenrad in der skizzierten horizontalen Lage. Es ist die Bahnkurve des Punktes A in Parameterdarstellung x(t) und y(t) bezüglich des skizzierten Koordinatensystems zu ermitteln.
  2. Für welche Radienverhältnisse r/R ist der Punkt A nach einem vollen Umlauf des Steges wieder in der skizzierten Lage?
  3. Man ermittle die Funktionen für die Bahngeschwindigkeit v(t) und die Gesamtbeschleunigung a(t).
  4. Man stelle die Bahnkurve des Punktes A für a/r=2 und R/r=1,5 graphisch dar und berechne die Länge des Weges, den der Punkt bei zwei vollen Stegumläufen zurücklegt.

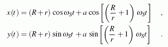
Bahnkurve in Parameterdarstellung

Aus der Bedingung, dass die auf den beiden Rädern abgewälzten Bögen gleich sein müssen (sind in der Skizze zur Aufgabenstellung fett gezeichnet) folgen die Gleichungen:

Parameterdarstellung der Bahnkurve
Bei einem ganzzahligen Radienverhältnis (hier: R/r=6) erreicht der Punkt A nach einem vollen Stegumlauf wieder seine Ausgangslage

Lage des Punktes A nach einem vollen Stegumlauf

Nur dann, wenn das Verhältnis der Radien R/r=m ganzzahlig ist (r/R=1/m), erreicht der Punkt A nach einem kompletten Stegumlauf wieder seine Ausgangslage.

Die nebenstehende Animation zeigt diesen Fall für das Radienverhältnis R/r=6. Die Lage des Punktes A auf dem Planetenrad spielt keine Rolle (hier wurde a/r=2 gewählt). Die weiter unten zu sehende Animation zur Aufgabenstellung d zeigt einen Fall mit nicht ganzzahligem Radienverhältnis.

Etwas schwieriger ist die Frage zu beantworten, nach wieviel Umläufen der Punkt A seine Ausgangslage erstmals wieder erreicht, wenn R/r nicht ganzzahlig ist. Die Antwort lautet: Man schreibe R/r in der Darstellungsform der rationalen Zahlen als gemeinen Bruch mit natürlichen Zahlen im Zähler und Nenner, der sich nicht weiter kürzen lässt. Dann gibt der Nenner die Anzahl der Stegumläufe an, nach denen erstmals wieder die Ausgangsstellung erreicht wird (die Lage des Punktes A auf dem Planetenrad spielt auch dafür keine Rolle), Beispiel: Mit R=20 und r=12 erhält man R/r=20/12=5/3, also 3 Stegumläufe. Nachfolgend sind einige Fälle dargestellt.

R=20 ; r=12 ; a=8
(3 Stegumläufe)
R=5 ; r=7 ; a=11
(7 Stegumläufe)
R=2 ; r=2,5 ; a=3,5
(5 Stegumläufe)
R=7 ; r=3 ; a=5
(3 Stegumläufe)

Gesamtgeschwindigkeit und Gesamtbeschleunigung

Durch Ableitung der oben angegebenen Parameterdarstellung der Bahnkurve nach der Zeit kommt man zu den Komponenten der Geschwindigkeit bzw. der Beschleunigung. Diese können zu folgenden Formeln für die Gesamtgeschwindigkeit und Gesamtbeschleunigung zusammengesetzt werden:

Gesamtgeschwindigkeit und Gesamtbeschleunigung des Punktes A

Analyse der Bahnkurve für spezielle Abmessungen

Die nebenstehende Animation zeigt die Bahnkurve für ein Radienverhältnis R/r=1,5. Für die Lage des Punktes A auf dem Planetenrad wurde a/r=2 gewählt.

Weil das Radienverhältnis nicht ganzzahlig ist, sind in diesem Fall zwei Stegumläufe erforderlich, bis der Punkt A seine Ausgangslage wieder erreicht.

Im Kapitel "Kinematik des Punktes" wird gezeigt, dass der auf einer Bahn zurückgelegte Weg das Zeitintegral über die Bahngeschwindigkeit ist, das für dieses Beispiel in der Form

Der Weg ist das Zeitintegral über die Bahngeschwindigkeit

aufgeschrieben werden kann. Weil der zurückgelegte Weg für zwei volle Stegumläufe natürlich weder von der Winkelgeschwindigkeit ωS noch von der Zeit abhängig ist, die dafür erforderlich ist, wird die neue Variable

Koordinatentransformation

eingeführt, mit der das Integral als

Berechnung des Weges für zwei komplette Stegumläufe

formuliert werden kann. Das Integral wird numerisch gelöst. Unter www.TM-Mathe.de findet man im Bereich "Numerische Integration" ein genau zu diesem Problem passendes Beispiel, das leicht modifiziert werden kann. Das folgende Matlab-Script (Download hier) berechnet das Integral:

function Bogenlaenge
clear all

a = 0 ; b = pi*4  ;               % Integrationsgrenzen

disp(['Bogenlaenge: s = ', num2str(quad (@integr , a , b , 1.e-10))]) ;

function v = integr(phi)
Rdr = 1.5 ; adr = 2 ;
v = (Rdr+1)*sqrt(1+adr^2+2*adr*cos(Rdr*phi)) ;
Command Window mit Ergebnis der Matlab-Recnung

Nebenstehend sieht man das Ergebnis der Berechnung im "Command Window" von Matlab. Der vom Punkt A bei zwei vollen Stegumläufen zurückgelegte Weg beträgt also:

Weg des Punktes A bei zwei kompletten Stegumläufen