Berechnung von Gleichgewichtslagen, Lösung mit Maple

Aufgabe

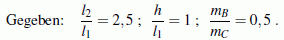
Zwei Stäbe mit den Längen l1 und l2, deren Eigengewicht zu vernachlässigen ist, sind wie skizziert gelagert und durch die Gewichtskräfte der Massen mB und mC belastet.

Es soll der Winkel α ermittelt werden, für den das System im Gleichgewicht ist.

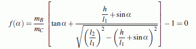
Im Kapitel "Prinzipien der Mechanik" des Lehrbuchs "Dankert/Dankert: Technische Mechanik" wird gezeigt, dass das System nur im Gleichgewicht sein kann, wenn die Gleichung

erfüllt ist. Es sind also die Nullstellen der Funktion f(α) gesucht. Dies ist nur numerisch möglich und wird nachfolgend mit dem Mathematik-Programm Maple erledigt.

Das Maple Worksheet ist als Seite621.mws zum Download verfügbar.