Kompliziertes Fachwerk: Verifizieren der Computerrechnung
Statisch bestimmtes ebenes Fachwerk mit 55 Stäben

Aufgabe

Das skizzierte Fachwerk (Kraft F und die Länge a sind gegeben) wird im Kapitel "Ebene Systeme starrer Körper" mit dem Ziel analysiert, möglichst viele Kontrollmöglichkeiten für die sich anbietende Berechnung mit einem Computerprogramm zu finden.

Mit 29 Knoten und 55 Stäben (das Seil, das den Ausleger hält, wird wie ein Stab betrachtet) ist es im Vergleich mit entsprechenden Problemen der technischen Praxis ein relativ einfaches Modell. Das Fachwerk ist statisch bestimmt: Den 58 Unbekannten (55 Stabkräfte und 3 Lagerreaktionen) stehen 2·29 Gleichungen gegenüber.

Interaktive Berechnung mit dem Programm "Statisch bestimmte ebene Fachwerke"

Es bietet sich an, die Berechnung interaktiv mit dem Programm "Statisch bestimmte ebene Fachwerke" durchzuführen, das man unter www.TM-interaktiv.de findet. Dieses Programm erwartet die Beschreibung des physikalischen Modells (vom Benutzer wird also keine Mathematik abgefordert). Hier findet man die Demonstration der Berechnung "Schritt für Schritt" mit diesem Programm. Das Ergebnis sieht so aus:

Ergebnis der Berechnung mit dem Programm 'Statisch bestimmte ebene Fachwerke' Ergebnis der Berechnung mit dem Programm 'Statisch bestimmte ebene Fachwerke' Ergebnis der Berechnung mit dem Programm 'Statisch bestimmte ebene Fachwerke' Ergebnis der Berechnung mit dem Programm 'Statisch bestimmte ebene Fachwerke'
Sinnvolle Ritter-Schnitte

Möglichkeiten, die Rechnung zu verifizieren

Mit der nebenstehenden Skizze wird verdeutlicht, welche Möglichkeiten sich anbieten, die Computerrechnung auf der Basis der im Kapitel "Ebene Systeme starrer Körper" behandelten theoretischen Grundlagen zu verifizieren, zum Beispiel:

Diese Kontrollmöglichkeiten werden nachfolgend exemplarisch ausgeführt. Schwierig bleibt das Portal, für das keine der oben empfohlenen Kontrollen möglich ist. Darauf wird weiter unten deshalb gesondert eingegangen.

Kontrolle der Lagerreaktionen

System zur Berechnung der Lagerreaktionen

Die Lagerreaktionen können am Gesamtsystem, das als starrer Körper aufgefasst wird (nebenstehende Skizze), berechnet werden. Das Kraftgleichgewicht in horizontaler Richtung liefert unmittelbar die Lagerkraft FAH. Das Momentengleichgewicht um den Punkt A entsprechend −F·12a+13a−FB·6a = 0 liefert die Lagerkraft FB, und ein entsprechendes Momentengleichgewicht um B liefert die Lagerkraft FAV:

Lagerreaktionen

Die Ergebnisse bestätigen die Computerrechnung.

Rundumschnitte an den Knoten J und L

Rundumschnitt um den Knoten J

Für die Berechnung der Stabkräfte FS1 und FS2 am nebenstehend skizzierten Schnitt um den Knoten J wird der Winkel α1 benötigt. Es bietet sich an, die cos-Funktion und die sin-Funktion dieses Winkels zu berechnen:

Winkelfunktionen sin und cos für den Winkel am Knoten J

Aus den beiden Gleichgewichtsbedingungen  −F + FS2 sinα1 = 0  und  FS1 + FS2 cosα1 = 0  errechnet man die Stabkräfte:

Stabkräfte am Knoten J
Rundumschnitt um den Knoten L

An einem Rundumschnitt um den Knoten L (nebenstehende Skizze) kann man auf gleiche Weise die Winkelfunktionen für den Winkel α2

und mit der nunmehr bekannten Stabkraft FS2 die Stabkräfte FS3 und FS6 berechnen:

Stabkräfte am Knoten J

Alle Ergebnisse bestätigen die Computerrechnung.

Stabkraftberechnung mit einem Ritterschen Schnitt

Ritterscher Schnitt RS1

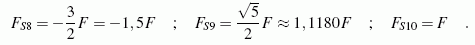
Mit dem Ritterschen Schnitt RS1 durch die Stäbe 8, 9 und 10 können die Stabkräfte FS8, FS9 und FS10 berechnet werden. Mit dem Kraftgleichgewicht in horizontaler Richtung (−F + FS9 cosα2 = 0), dem Momentengleichgewicht um den Knoten, an dem die Stäbe 8 und 9 zusammenstoßen (−F·2a + FS10·2a = 0) und dem Momentengleichgewicht um den Knoten, an dem die Stäbe 9 und 10 zusammenstoßen (−F·3a − FS8·2a = 0) sind drei Gleichungen verfügbar, aus denen man die Stabkräfte berechnet:

Stabkräfte für die Stäbe 8, 9 und 10

Die Ergebnisse bestätigen die Computerrechnung.

Betrachten von Teilsystemen, Berechnung der Seilkraft

Auslager

Im Allgemeinen ist man gut beraten, wenn man komplizierte Systeme in mehrere Teilsysteme zu zerlegen versucht. Weil weitere Stabkräfte an Turm und Ausleger ohnehin erst bei bekannter Seilkraft berechnet werden können, wird folgender Weg gewählt: Der Ausleger ist bei C am Portal gelenkig (zweiwertig) gelagert und zusätzlich durch ein einwertiges Lager (Seil) am Turm gefesselt. Entsprechend nebenstehender Skizze können die "Lagerreaktionen" aus den drei Gleichgewichtsbedingungen berechnet werden. Das Momentengleichgewicht um den Punkt C liefert die Seilkraft:

Das Momentengleichgewicht um den Punkt C liefert die Seilkraft

Aus den Gleichgewichtsbedingungen in horizontaler Richtung (−FS cosα3 + FCH = 0) bzw. vertikaler Richtung (FS sinα3 + FCV − F = 0) können die Kräfte FCH und FCV berechnet werden. Schließlich erhält man mit den Winkelfunktionen

Winkelfunktionen für den Winkel am Angriffspunkt des Seils

folgende Ergebnisse:

Kräfte am Ausleger

Der Wert für die Seilkraft bestätigt die Stabkraft FS55 der Computerrechnung.

Weitere Ritter-Schnitte, Anschlusskräfte des Turms

Kräfte am Turm

Mit der nunmehr bekannten Seilkraft können alle Stabkräfte am Turm und am Ausleger nechgerechnet werden (zum Beispiel mit den Ritterschen Schnitten RS3 oder RS4). Weil dies exakt nach dem Muster geschieht, das für den Ritter-Schnitt RS1 demonstriert wurde, wird hier darauf verzichtet.

Entsprechend nebenstehender Skizze werden aber die Anschlusskräfte zwischen Turm und Portal ermittelt. Das Momentengleichgewicht um den Punkt N liefert die Stabkraft FS20:

Stabkraftberechnung mit dem Momentengleichgewicht um den Punkt N

Aus den Gleichgewichtsbedingungen in horizontaler Richtung (FS cosα3 − F − FNH = 0) bzw. vertikaler Richtung (−FS sinα3 - FS20 + FNV = 0) können die Kräfte FNH und FNV berechnet werden. Schließlich erhält man mit den oben angegebenen Winkelfunktionen und der bekannten Seilkraft FS folgende Ergebnisse:

Kräfte am Turm

Der Wert für die Stabkraft FS20 bestätigt das Ergebnis der Computerrechnung.

Portal mit den berechneten Anschlusskräften

Das Problem mit dem Portal

Schließlich bleibt mit dem durch die 5 Anschlusskräfte belasteten Portal ein für die Berechnung der Stabkräfte höchst unangenehmes Gebilde übrig, obwohl auch die Lagerreaktionen bekannt sind. An keinem Knoten stoßen weniger als 3 Stäbe mit noch unbekannten Stabkräften zusammen, und es lässt sich kein Ritter-Schnitt so legen, dass die geschnittenen Stabkräfte berechnet werden könnten.

Natürlich stehen insgesamt genügend Gleichgewichtsbedingungen zur Berechnung der Stabkräfte zur Verfügung, aber die Lösung des Gleichungssystem sollte wohl doch dem Computer übertragen werden. Empfehlenswert ist folgende Strategie:

Neben den 17 Stabkräften werden auch die 3 Lagerreaktionen als "Unbekannte" in die Berechnung einbezogen. Dafür sind an den 10 Knoten insgesamt 20 Gleichgewichtsbedingungen zu formulieren. Die Lösung kann dann recht wirksam durch den Vergleich mit den bereits bekannten Lagerreaktionen kontrolliert werden.

Wenn man sich zur Berechnung mit dem Computer entschließt, sollte man diesem auch möglichst viel übertragen, hier zum Beispiel die Berechnung der Winkelfunktionen für die Winkel α4 bis α7. Die (willkürlich wählbare) Reihenfolge der Unbekannten wird folgendermaßen festgelegt: FS23, FS24, FS25, ... , FS39, F1x, F1y, F2y (die drei letztgenannten sind die Lagerreaktionen an den Punkten P1 und P2).

Die Frage, ob man denn unbedingt nach den zahlreichen Kontrollen, mit denen bereits die Richtigkeit der Computerrechnung bestätigt wurde, auch noch das schwierige Portal überprüfen sollte, muss eindeutig mit "Ja" beantwortet werden. Weil die oben nachgerechneten Stabkräfte und auch die Lagerreaktionen völlig unabhängig von der Ausführung des Portals sind (dieses könnte auch ein massiver starrer Körper sein), gibt es bisher kein Indiz für die Richtigkeit der Stabkräfte, die zum Portal gehören.

Das nachfolgend gelistete Matlab-Script (Download als Portal.m möglich) baut das Gleichungssystem aus den 20 Gleichgewichtsbedingungen auf und löst es:

% Portal

clear all

alpha4 = atan(4/3) ; 
alpha5 = atan(4/2) ; 
alpha6 = atan(5/1) ; 
alpha7 = atan(1/1) ;

c4 = cos(alpha4) ;
c5 = cos(alpha5) ;
c6 = cos(alpha6) ;
c7 = cos(alpha7) ;

s4 = sin(alpha4) ;
s5 = sin(alpha5) ;
s6 = sin(alpha6) ;
s7 = sin(alpha7) ;

%    23 24  25 26  27 28 29 30  31 32 33  34 35 36  37 38  39 1x 1y 2y
A = [ 0  0   0  0   0  0  0  0   0  0  0  c6 c5 c4  0   0   0  1  0  0 ;   %1x
      0  0   0  0   0  0  0  0   0  0  0  s6 s5 s4  0   0   0  0  1  0 ;   %1y
      0  0   0  0   0  0  0  0   0  0  0  0  0  0  -c4 -c5 -c6 0  0  0 ;   %2x
      0  0   0  0   0  0  0  0   0  0  0  0  0  0   s4  s5  s6 0  0  1 ;   %2y
      0  0   0  0   0  0  0  c7  0  1  0  0 -c5 0   0   0   0  0  0  0 ;   %3x
      0  0   0  0   0  0  0  s7  0  0  0  0 -s5 0   0   0   0  0  0  0 ;   %3y
      0  0   0  0   0  0  0  0   0 -1  1  0  0 -c4  c4  0   0  0  0  0 ;   %4x
      0  0   0  0   0  0  0  0   0  0  0  0  0 -s4 -s4  0   0  0  0  0 ;   %4y
      0  0   0  0   0  0  0  0  -c7 0 -1  0  0  0   0   c5  0  0  0  0 ;   %5x
      0  0   0  0   0  0  0  0   s7 0  0  0  0  0   0  -s5  0  0  0  0 ;   %5y
      0  c7  0  0   0  1  0  0   0  0  0 -c6 0  0   0   0   0  0  0  0 ;   %6x
      0  s7  0  0   0  0  0  0   0  0  0 -s6 0  0   0   0   0  0  0  0 ;   %6y
      0  0  -c7 c7  0 -1  1 -c7  c7 0  0  0  0  0   0   0   0  0  0  0 ;   %7x
      0  0   s7 s7  0  0  0 -s7 -s7 0  0  0  0  0   0   0   0  0  0  0 ;   %7y
      0  0   0  0  -c7 0 -1  0   0  0  0  0  0  0   0   0   c6 0  0  0 ;   %8x
      0  0   0  0   s7 0  0  0   0  0  0  0  0  0   0   0  -s6 0  0  0 ;   %8y
      1 -c7  c7 0   0  0  0  0   0  0  0  0  0  0   0   0   0  0  0  0 ;   %9x
      0 -s7 -s7 0   0  0  0  0   0  0  0  0  0  0   0   0   0  0  0  0 ;   %9y
     -1  0   0 -c7  c7 0  0  0   0  0  0  0  0  0   0   0   0  0  0  0 ;   %10x
      0  0   0 -s7 -s7 0  0  0   0  0  0  0  0  0   0   0   0  0  0  0 ] ; %10y
      
b = [0 ; 0 ; 0 ; 0 ;    0  ;   0  ; 0 ;   0   ;    0   ;   0 ; ...
     0 ; 0 ; 0 ; 0 ; 64/29 ; 5/29 ; 0 ; -9/29 ; -35/29 ; 33/29 ] ;

FSi = A \ b ;

for i=1:17
 disp(['FS', num2str(i+22) , ' = ' , num2str(FSi(i))]) ;
end
disp(['FP1x = ' , num2str(FSi(18))]) ;
disp(['FP1y = ' , num2str(FSi(19))]) ;
disp(['FP2y = ' , num2str(FSi(20))]) ;
Lösung: Stabkräfte des Portals und Lagerreaktionen

Die Enttäuschung

Nebenstehend ist die Lösung zu sehen, die das Matlab-Script für das Portal erzeugt hat. Der Vergleich mit den Stabkräften, die mit dem Programm "Statisch bestimmte ebene Fachwerke" berechnet wurden, zeigt kein einziges übereinstimmendes Ergebnis.

Allerdings stimmen die 3 Lagerreaktionen (die drei letzten Werte in der Ergebnisausgabe) mit den interaktiv berechneten und am Gesamtsystem überprüften Werten überein. Aber das sind äußere Kräfte, das "Innere des Portals" ist bei einer der beiden Rechnungen nicht richtig behandelt worden.

Bei der nun erforderlichen Fehlersuche wird man sicher zuerst die spezielle Berechnung des Portals überprüfen, weil hierfür die Anschlusskräfte, die Behandlung der Geometrie, das Aufstellen der Gleichgewichtsbedingungen und die Programmierung des Matlab-Scripts als Fehlerquellen infrage kommen.

Wenn man nach (möglicherweise aufwendigen) Kontrollen der Kontrollrechnung keinen Fehler findet, wird man die Originalrechnung noch einmal überprüfen, und da findet sich die (wirklich nicht seltene) Fehlerursache: Die Rechnung ist zwar richtig, aber es wurde nicht das Modell der Aufgabenstellung behandelt. Die beiden Stäbe 30 und 31 sind nicht so in das Modell eingebunden, wie es die Aufgabenstellung vorsieht:

 
Aufgabenstellung Berechnetes Modell

Korrekte Berechnung und ein Geständnis

Nachfolgend ist das korrekte Ergebnis für das Modell der Aufgabenstellung zu sehen, das allen durchgeführten Kontrollrechnungen standhält:

Korrektes Ergebnis der Berechnung mit dem Programm 'Statisch bestimmte ebene Fachwerke' Korrektes Ergebnis der Berechnung mit dem Programm 'Statisch bestimmte ebene Fachwerke' Korrektes Ergebnis der Berechnung mit dem Programm 'Statisch bestimmte ebene Fachwerke' Korrektes Ergebnis der Berechnung mit dem Programm 'Statisch bestimmte ebene Fachwerke'

Dass dieses Beipiel zum Thema "Verifizieren von Computerrechnungen" hier so ausführlich behandelt wurde, hat zwei Gründe: