Beispiel zur Flächenschwerpunkt-Berechnung mit TM-interaktiv

Aufgabe

Die skizzierte Fläche wird durch die Sinus-Kurve und eine Gerade, die durch den Nullpunkt und den ersten Scheitelpunkt der Sinus-Kurve verläuft, begrenzt. Man ermittle die Schwerpunktkoordinaten der Fläche.

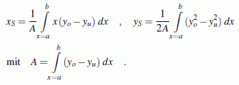
Die Aufgabe findet man als Beispiel im Kapitel "Schwerpunkte" des Lehrbuchs "Dankert/Dankert: Technische Mechanik". Dort werden auch die Formeln angegeben, die für die Schwerpunktberechnung einer Fläche gelten, die im Bereich a ≤ x ≤ b von den beiden Funktionen yo(x) und yu(x) oben bzw. unten begrenzt wird:

Lösung

Nach dem Start des Programms "Funktionen analysieren" (zu finden unter "TM-interaktiv") werden (über das gelbe Eingabefeld links oben) zunächst die beiden Funktionen yo und yu definiert. Im folgenden Bildschirm-Schnappschuss sieht man im Eingabefeld noch die zuletzt eingegebene Funktion yu, im Mittelteil sind beide eingegebenen Funktionen protokolliert. Nach Änderung der Grenzen xAnf und xEnd auf die Werte 0 bzw. pi/2 wird unter "Aktionen mit Funktionen:" das Angebot "Grafische Darstellung" gewählt, der Bildschirm sieht dann so aus:

Nun wechselt man zum Tab "Numerische Integration", wo man die eingegebenen Funktionen und die Grenzen wiederfindet. Zur Lösung des ersten Integrals wird der Integrand I1=yo-yu als neue Funktion eingegeben. Man sieht im Mittelbereich, dass nur vor dieser Funktion das "Häkchen" steht und kann deshalb "Integration ausführen" wählen, und im rechten Bereich erscheint das Ergebnis:

Das Angebot, das Ergebnis als Konstante für die weitere Verwendung zu übernehmen, wird angenommen, es wird als Fläche A gespeichert. Nun kann der zweite Integrand als Funktion I2=1/A*x*I1 definiert und sofort integriert werden. Das Ergebnis ist die Schwerpunkt-Koordinate xS:

Der Vorgang wird für den dritten Integranden I3=1/(2*A)*(yo^2-yu^2) wiederholt. Das Ergebnis ist die Schwerpunkt-Koordinate yS: