|
Die nachfolgend verwendeten Differenzialgleichungen und Formeln für Biegemoment und Querkraft findet man mit Erläuterungen auf der Seite "Biegelinie für den geraden Träger, Zusammenstellung der Formeln".
Mit den in der Skizze zu sehenden Koordinaten z1 und z2 gelten die
Differenzialgleichungen
(für den linken Bereich) und
(für den rechten Bereich). Die allgemeinen Lösungen findet man jeweils durch viermaliges Integrieren:
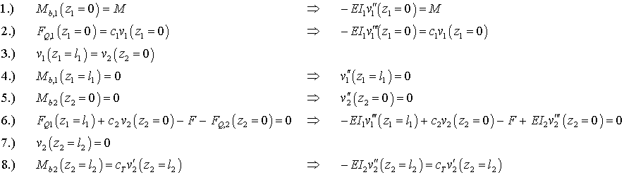
Es sind 8 Integrationskonstanten zu bestimmen. Für die Rand- und Übergangsbedingungen, in die eine Federkraft bzw. ein Federmoment eingehen,
sind nachfolgende Schnittskizzen hilfreich. Für die Richtung der Federkräfte gilt: Weil positive Verschiebungen nach unten gerichtet sind (Feder wird
zusammengedrückt), reagiert die Feder mit einer nach oben gerichteten Kraft. Verdrehwinkel sind bei einem solchen z-v-System im Uhrzeigersinn
positiv (siehe nachfolgende Skizze rechts), so dass das von der Drehfeder auf den Träger wirkende Momente entgegen dem Uhrzeigersinn anzutragen ist:
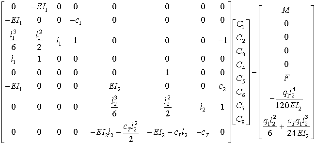
Die 8 Rand- und Übergangsbedingungen lauten:
Damit kann das folgende Gleichungssystem formuliert werden:
Die Lösung dieses Gleichungssystems ist (mit einiger Mühe) durchaus noch "von Hand" möglich. Weil danach die Auswertung der allgemeinen Lösung
mit den dann bekannten Integrationskonstanten aber auch recht aufwändig (und alles natürlich sehr fehleranfällig) ist, kann dieser Weg kaum empfohlen
werden. Das nachfolgende Matlab-Script baut das Gleichungssystem auf, löst es und wertet mit den berechneten Integrationskonstanten die Funktionen für die Durchbiegung, das Biegemoment
und die Querkraft
aus:
Nachfolgend sind die Ergebnisse der Rechnung zu sehen:

|