DDBanner02

Zur Startseite

TM-aktuell
Aufgaben zur Festigkeitslehre

Für den skizzierten Träger ist die Biegelinie durch Superposition der Lösungen für den Kragträger unter Linienlast und den Kragträger mit einer Einzelkraft am freien Ende zu ermitteln (Lösungen entnehmen aus einem Taschenbuch oder von Seite 245 des Buchs “Dankert/Dankert: Technische Mechanik”).

Gegeben:   l , q0 , EI = konst.

Gesucht:

  1. Biegelinie v(zdurch Superposition von statisch bestimmten Grundlastfällen,
  2. Ort und Größe der maximalen Durchbiegung des Trägers.

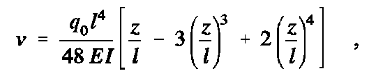
Ergebnisse (mit einer Koordinate z, die am linken Lager startet:):



Zur Übersicht der Aufgaben zur Festigkeitslehre

www.DankertDankert.de

 

TM1-Aufgaben TM2-Aufgaben
TM3-Aufgaben TM3-Aufgaben