|
Die nachfolgend verwendete Differenzialgleichung und die Formeln für Biegemoment und Querkraft findet man mit Erläuterungen auf der Seite "Biegelinie für den geraden Träger, Zusammenstellung der Formeln".
Mit der in der Skizze zu sehenden Koordinate z und nach unten positiv definierten Verschiebungen v
lautet die Differenzialgleichung:
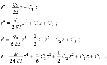
Die allgemeine Lösung findet man durch viermaliges Integrieren:
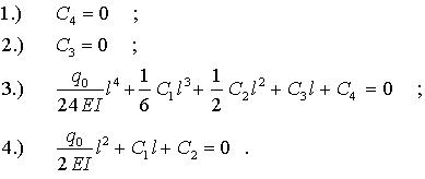
Die allgemeine Lösung enthält vier Integrationskonstanten, für die 4 Randbedingungen formuliert werden müssen:
Diese liefern ein lineares Gleichungssystem für die Berechnung der Konstanten C1 ... C4:
Dieses einfache Gleichungssystem lässt sich bequem von Hand lösen. Man erhält:
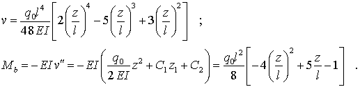
Damit können Biegelinie und Biegemomentenverlauf aufgeschrieben werden:
Für die Lagerkraft bei B gilt (siehe Schnittskizze rechts "unendlich dicht am rechten Rand"):

|