DDBanner02

Zur Startseite

TM-aktuell
Aufgaben zur Festigkeitslehre

Ein Kragträger (Rundstab mit konstantem Durchmesser d und Länge l = 4 m)) ist nur durch sein Eigengewicht (Dichte 7,8 g/cm3, in der Skizze repräsentiert durch die Linienlast q0) belastet.

  1. Man wähle einen Durchmesser d so, dass eine maximal zulässige Biegespannung von 200 N/mm2 nicht überschritten wird.
     
  2. Für den unter a) gewählten Durchmesser berechne man die Biegelinie und die maximale Durchbiegung und den maximalen Biegewinkel bei einem Elastizitätsmodul E = 210000 N/mm2.

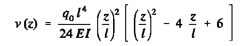
Ergebnisse:

a) derf = 24,5 mm ;  gewählt: d = 25 mm
b)

     vmax = 298 mm     ;      (v´)max = 0,0995    (~ 5,7°)

Zur Übersicht der Aufgaben zur Festigkeitslehre

www.DankertDankert.de

 

TM1-Aufgaben TM2-Aufgaben
TM3-Aufgaben TM3-Aufgaben